Life can get hectic, and keeping track of everything can be a challenge. That’s where printable forms come in handy! From daily planners to budget sheets, there’s a form for every need.
Whether you’re a student, a busy professional, or a parent trying to stay organized, printable forms can make your life easier. With just a few clicks, you can have a customized form ready to use.

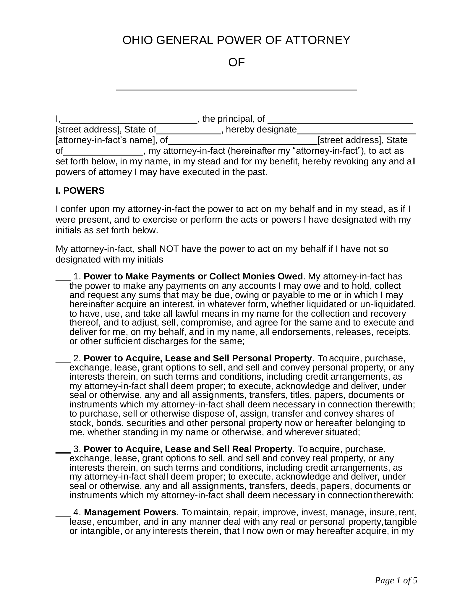
financial power of attorney ohio printable form
Financial Power of Attorney Ohio Printable Form
Need a financial power of attorney form in Ohio? Look no further! Printable forms make it easy to designate someone to handle your finances if you’re unable to do so yourself. Simply fill in the details and print it out.
From free printable application forms to blank forms for home or office use, the options are endless. You can find templates for expense tracking, meal planning, goal setting, and more. The best part? You can personalize them to suit your needs.
Printable forms are not only convenient but also help you stay organized and boost productivity. Whether you need to track your spending, plan your day, or keep important information on hand, printable forms can streamline your tasks.
So why not give printable forms a try? Explore the variety of templates available online and find the ones that work best for you. Stay organized, save time, and simplify your life with the power of printable forms!

Free Ohio Limited Power Of Attorney Form PDF Word EForms

Free Ohio OH Power Of Attorney Forms Templates PDF

If you’re just starting, form printable offers functional templates.
With useful templates, it’s easy to keep printing every day.
Free Ohio General Financial Power Of Attorney Form PDF

Free Ohio Durable Financial Power Of Attorney Form PDF Word

Free Ohio General Financial Power Of Attorney PDF Word EForms
Add form printable to your paperwork stack and unlock helpful formats.
Whether you’re just exploring, form printable is your perfect solution. The forms are waiting for you!