Are you tired of scrambling to find the right form when you need it most? Printable forms are the perfect solution for staying organized in all areas of life. Whether you need a daily planner, application form, or a blank form for home or office use, printable forms have got you covered.
With the convenience of printable forms, you can easily access and print what you need at any time. From personal to professional to academic settings, these forms help streamline your tasks and keep you on track. No more searching through drawers or files for the right document!

free printable blank power of attorney form
Free Printable Blank Power of Attorney Form
Printing out forms is a breeze, and you can customize them to suit your specific needs. Whether you prefer a digital copy or a hard copy, printable forms offer flexibility and ease of use. Say goodbye to messy handwriting or incomplete forms – with printable forms, everything is neat and organized.
By using printable forms, you can boost your productivity and efficiency in various aspects of your life. Keep track of appointments, deadlines, expenses, and more with ease. Stay ahead of the game and reduce stress by having all your important information at your fingertips.
So why not give printable forms a try today? Explore the endless possibilities and see how they can simplify your life. Whether you’re a student, a professional, or a busy parent, printable forms are a game-changer. Stay organized, stay productive, and stay stress-free with printable forms!

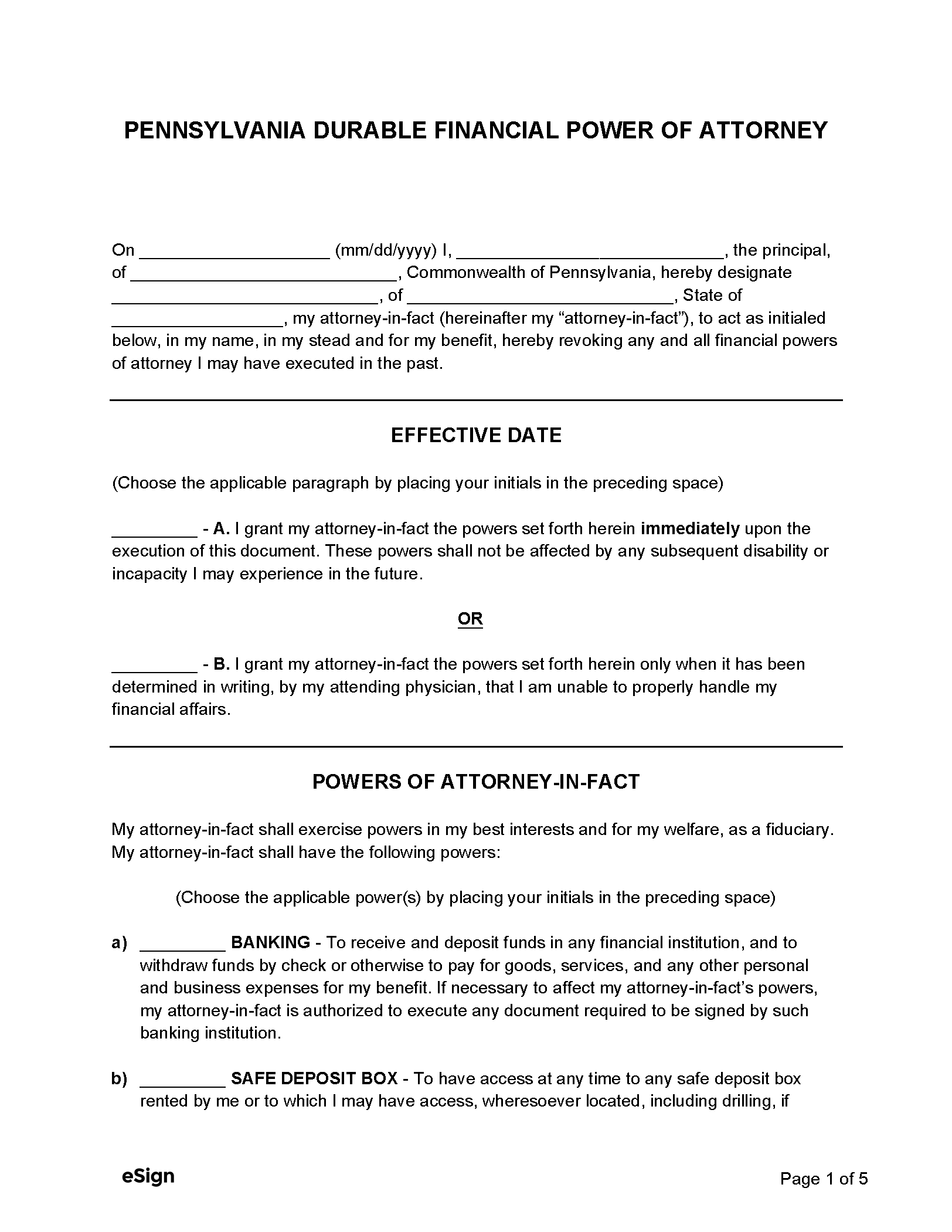
Free Pennsylvania Power Of Attorney Forms 10 PDF Word

Free Printable Power Of Attorney Form Templates PDF Word POA

No matter your skill level, form printable delivers efficient templates.
Thanks to easy customization, it’s easy to keep saving time every day.
Free General Power Of Attorney Forms PDF Word

Free Limited Special Power Of Attorney Form PDF Word EForms

Free Power Of Attorney Forms PDF Word
Make form printable part of your office system and enjoy stress-free form filling.
Be it for task tracking, form printable is your perfect solution. Print, and get organized!