Do you ever find yourself overwhelmed by paperwork and forms? Printable forms are here to save the day! Whether you need a daily planner, application forms, or blank forms for home or office use, printable forms are a game-changer.
Printable forms make life easier by offering a quick and convenient way to organize your tasks and information. From personal to professional to academic settings, these forms are versatile and customizable to suit your needs. Simply print them out and fill them in – it’s that easy!

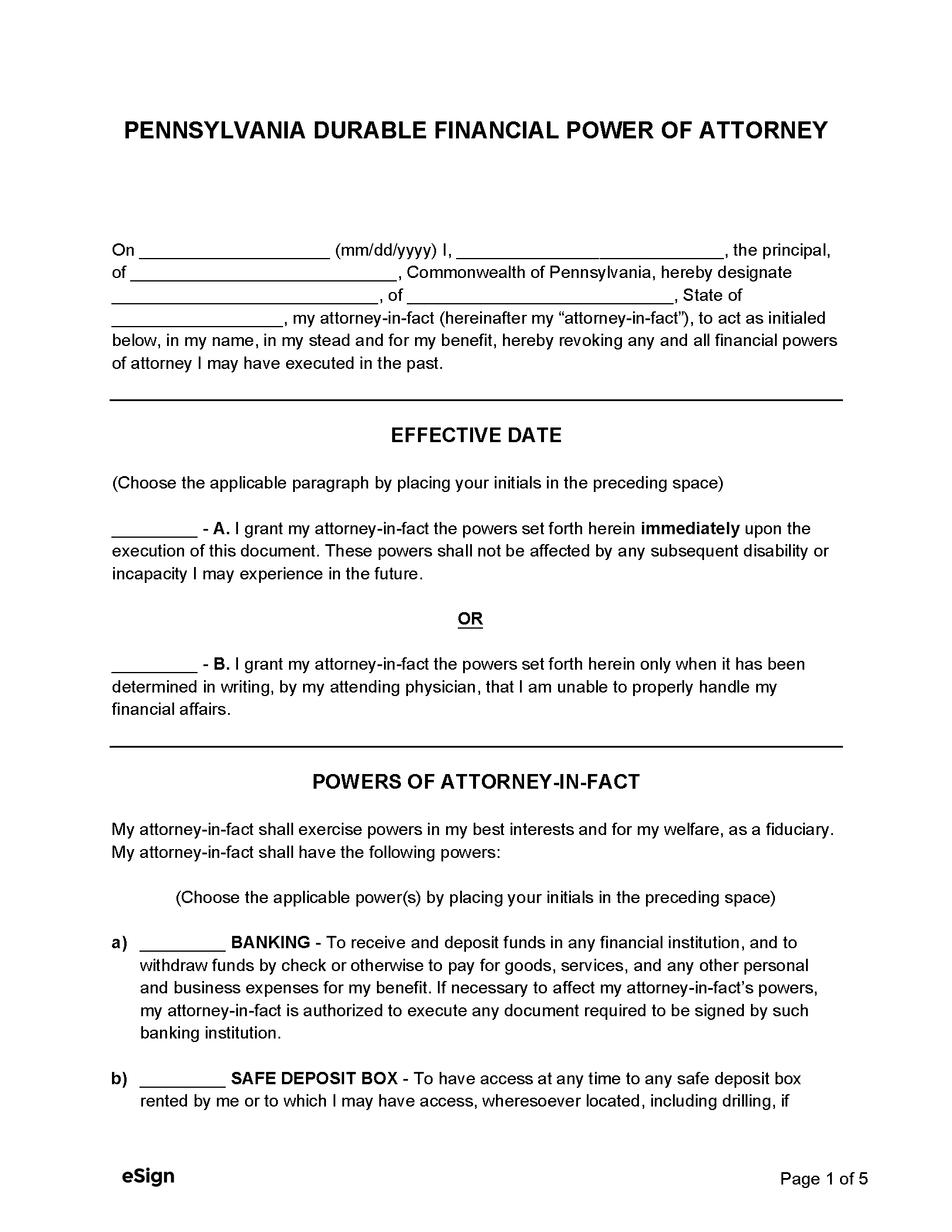
free printable durable power of attorney form pa
Free Printable Durable Power of Attorney Form PA
With printable forms, you can say goodbye to messy handwriting and lost documents. Stay on top of your schedules, appointments, and important information with ease. The best part? You can find a wide variety of free printable forms online, including the durable power of attorney form PA.
Whether you’re a busy professional juggling multiple projects, a student trying to stay organized with assignments, or a parent managing household tasks, printable forms can help you stay on track and boost your productivity. Take the stress out of paperwork and streamline your daily tasks with these handy tools.
So why not give printable forms a try today? Explore the endless possibilities and benefits they offer. Stay organized, save time, and enjoy the convenience of having all your information neatly arranged in one place. Simplify your life with printable forms – you’ll wonder how you ever lived without them!

Free Pennsylvania Power Of Attorney Forms 9 Types PDF Word EForms

Free Pennsylvania Durable Power Of Attorney Form PDF Word

No matter your organization type, form printable delivers efficient templates.
With clean designs, it’s easy to build your workflow every day.
Free Pennsylvania Durable Financial Power Of Attorney Form PDF Word EForms

Free Pennsylvania Durable Financial Power Of Attorney Form PDF Word

Free Pennsylvania PA Durable Power Of Attorney Forms Templates PDF
Bookmark us for your next template search and enjoy paperwork done right.
Be it for task tracking, form printable is your template hub. Save, and start now!